Typesetting
in Hidrobiológica
Intervalos de parámetros no-conservativos en sistemas acuáticos costeros de México
Resumen
Antecedentes:
Algunos investigadores, para clasificar el estado trófico del agua de sistemas costeros mexicanos, han usado normas, estándares o regulaciones creados para ambientes de otras latitudes y con características climáticas, geológicas y sociales distintas a las de México, debido al desconocimiento de la variación normal de los parámetros fisicoquímicos y biológicos del agua de dichos sistemas; incluso los valores que obtienen se llegan a comparar con normas mexicanas que han sido elaboradas para regular las aguas residuales de uso urbano o industrial descargadas a ríos y lagunas costeras. Los intervalos de concentración de los distintos elementos químicos, las metodologías y las unidades e interpretaciones de esas normativas no son similares a los de las aguas costeras de latitudes tropicales; por lo tanto, los resultados no reflejan de manera adecuada la realidad de los ambientes acuáticos costeros nacionales.
Objetivos:
Difundir las unidades y los in tervalos de variación espacio-temporal normales de los parámetros fisicoquímicos de lagunas, esteros, estuarios, marismas y bahías mexicanos.
Métodos:
Se realizó una amplia búsqueda de información con la finalidad de obtener la variación de los siguientes parámetros en la columna de agua: oxígeno disuelto, nutrientes (nitrogenados y fosforados inorgánicos) y el índice de la biomasa fitoplanctónica (referida como clorofila a), los cuales tienen significado ecológico y que en la acuicultura se consideran indicadores de calidad del agua.
Resultados:
Se presentan los valores promedio, mínimo y máximo de los parámetros analizados en 72 ambientes costeros de México desde 1968 hasta el 2015.
Conclusiones:
El análisis de la información mostró que los intervalos son resultado de las características ambientales de cada sistema acuático. Esta información servirá de referencia para futuros análisis o diagnósticos ambientales y evitará el empleo de normas de instancias extranjeras, cuyas características, tanto ambientales como socioeconómicas, son diferentes.
Main Text
Introducción
Un problema importante que se presenta al determinar los límites de variación normal de los parámetros fisicoquímicos de aguas continentales o costeras de México es que los investigadores que analizan sus resul tados en estos ambientes no consideran que existe un amplio intervalo de variación natural, que puede ser localmente diferente en tiempo y espacio. Asimismo, frecuentemente se basan en normas que regulan la calidad del agua de consumo humano, como la NOM-ECOL-001-1996 (SEMARNAP, 1997), sin considerar que ésta fue elaborada para aguas de descarga en reservorios cuyos intervalos de concentración, meto dologías, unidades e interpretaciones son diferentes a las condiciones muchas veces prístinas de aguas lóticas y lénticas dulces, salinas o costeras de latitudes tropicales como las de México. Por la complejidad del marco ambiental y su variación espacio-temporal, que influye en las características fisicoquímicas del agua, y por la limitada consulta de in formación de diferentes sistemas, los resultados de un buen número de investigaciones en temas acuáticos (Herrera-Silveira & Morales-Ojeda, 2009; Herrera-Silveira & Trejo, 2002; Rivera-Guzmán et al., 2014; Gómez et al., 2014) han sido comparados con normativas de otros países, como de la Agencia de Protección Ambiental (EPA, por sus siglas en inglés), de Estados Unidos, y la Organización para la Cooperación y el Desarrollo Económicos (OCDE). Dado que las normativas y los índices de estos organismos se formularon con base en las características de ecosistemas de diferentes geografías, es inadecuado que se empleen para clasificar cuerpos costeros mexicanos. Esto conlleva una con fusión del término características fisicoquímicas con el de calidad del agua, que se emplea para un fin antropogénico (sea el agua para con sumo humano o para actividades económicas como la acuacultura, la agricultura o la industria). Es importante señalar que las metodologías que se utilicen para realizar las interpretaciones ecológicas deberán ser las recomendadas en lo que se refiere a ambientes acuáticos y per mitirán determinar de manera temporal su condición o estado trófico.
Debido a lo anterior, y dado que los ambientes acuáticos tropicales experimentan amplias variaciones, la presente contribución se elaboró a partir de una revisión bibliográfica, que aportará elementos que permitan comprender el amplio intervalo de concentración espacio-temporal de los parámetros fisicoquímicos y biológicos (clorofila a), que rutinariamente se determinan en sistemas costeros, y que además po drá emplearse para discriminar una condición natural de una condición con contaminación.
Por lo anterior, se llevó a cabo una amplia búsqueda bibliográfica de los intervalos de variación espacio-temporal “normales” de los pa rámetros fisicoquímicos en lagunas, esteros, estuarios, marismas y bahías mexicanos, para contribuir ala elaboración de una mejor inter pretación y diagnóstico de sus condiciones.
Marco teórico
En apoyo al entendimiento de las variaciones de los parámetros aquí analizados, se expondrán ciertos elementos justificativos físicos y químicos, ya que dentro de la metodología empleada para el estudio de ambientes acuáticos se selecciona, a discreción del responsable, el horario del muestreo, la conservación de las muestras y la técni ca de análisis en el laboratorio, entre otros aspectos; todos estos, consecuentemente, repercuten en los resultados. Tanto en las aguas continentales(dulces o salinas) como en las marinas se encuentran ga ses disueltos (O2, N2, CO2, entre otros); formas inorgánicas u orgánicas disueltas o particuladas de nitrógeno y fósforo, cuyas concentraciones son consecuencia de una variedad de factores latitudinales y locales, en donde los procesos físicos, geológicos, químicos y biológicos que ocurren en la columna de agua y en los sedimentos (ciclo biogeoquí mico) y sus interacciones son extremadamente complejos y difíciles de separar (De la Lanza et al., 2011).
Algunos de los gases disueltos en aguas naturales son principal mente de carácter conservativo, como el nitrógeno molecular, pues su variabilidad no depende de la reactividad química y biológica. Sin embargo, el CO2 y el O2, considerados no conservativos por su reactivi dad química y su asimilación biológica, dependen no sólo de procesos metabólicos como la fotosíntesis y la respiración, sino también de fac tores físicos (temperatura y salinidad) y químicos (oxido-reducciones abióticas) (De la Lanza et al., 2011).
Los gases con interacción biológica presentes en la atmósfera (CO2, O2, N2) se encuentran disueltos en cualquier tipo de agua y su concen tración es resultado de los factores antes mencionados; sin embargo, otros más afectan su contenido, como la variación cíclica con diferente temporalidad: la hora (ciclo diurno o nictemeral, estacional e interanual), que incluyen la mezcla y el intercambio mareal de aguas continentales y marinas, así como la dinámica vertical (estratificación y mezcla termoha lina y eólica). Adicionalmente, la geomorfología, que modifica y restringe la circulación, también propicia la estratificación y los procesos difusi vos (Aston, 1980), que no son homogéneos a nivel espacial en lagunas costeras; esto genera una distribución en parches de los nutrientes, el fitoplancton, la vegetación sumergida y el zooplancton (Alvarez-Borrego et al., 1977), que hacen su distribución aun más heterogénea.
El ciclo diurno del oxígeno disuelto en cuerpos cerrados o semi cerrados puede oscilar en condiciones normales entre la anoxia e hi poxia y la sobresaturación. Sin embargo, cargas fuertes de materiales orgánicos antropogénicos, sobre todo de aguas negras e industriales, llevan este balance hacia una condición de deficiente aireación, la cual es deletérea para los organismos planctónicos y, más aún, bentónicos intolerantes a hipoxia (< 2.0 mL/L) o anoxia (< 1.0 mL/L) (De la Lanza, 2014).
En los sistemas lagunares y estuarinos la concentración de oxígeno dependerá principalmente del balance entre la respiración y la fotosín tesis, cuando domina la primera se presentará en el medio hipoxia o inclusive anoxia. La permanencia de esta condición estará determinada por la morfología y una limitada circulación, la cual está en función de las mareas, las corrientes y el viento, así como la entrada de agua dulce con altos contenidos de materia orgánica (De la Lanza, 2014). Aunado a la respiración, estos dos últimos factores pueden generar no sólo hipoxia o anoxia durante la noche y especialmente las primeras horas de la mañana, sino también a lo largo del día. Siendo necesario, por lo tanto, establecer si el cuerpo de agua es todavía prístino o está sujeto al impacto de actividades antropogénicas (De la Lanza, 2014).
La eutrofización (natural y cultural) disminuye la concentración de oxígeno disuelto, ya que este gas se emplea para la degradación de la materia orgánica producida por el crecimiento excesivo de cierto fitoplancton y bacterioplancton, especialmente en condiciones de es tratificación o baja circulación (Diaz, 2001). En algunos casos este enri quecimiento puede favorecer la presencia de especies nocivas. (Walsh et al., 2006).
Los nutrientes (nitratos, nitritos, amonio y ortofosfatos) son indis pensables para una adecuada producción primaria. Algunos autores incluyen ciertos metales traza (hierro, cobre, zinc, manganeso, vanadio y molibdeno) como esenciales para los sistemas enzimáticos de los organismos autótrofos, que se caracterizan por su reactividad química y biológica (De la Lanza et al., 2011).
El estudio de los nutrientes puede abordarse en un marco global a través de su ciclo biogeoquímico (que incluye los ámbitos geológico, bio lógico y químico (De la Lanza, 2014). El ciclo se inicia con los aportes flu viales, ya que presentan mayores contenidos de sales de estos elemen tos, y, según Kennish (1986), puede describirse de la siguiente manera:
  • De manera general, el nitrógeno y el fósforo presentes en las la gunas costeras y estuarios, llega transportado por los ríos debido a la intemperización de la roca y del lixiviado de suelos terrestres aledaños al sistema.
  • A lo largo del gradiente de salinidad del estuario, desde la zona de influencia dulceacuícola hasta la boca de comunicación con el mar, se presentan una serie de reacciones fisicoquímicas y biológi cas que disminuyen gradualmente la concentración de nutrientes. Adicionalmente, éstos pueden ser adsorbidos por los sedimentos los cuales representan un papel importante en la redisponibilidad y captura de nutrientes, manteniendo el contenido de estos ele mentos más o menos homogéneamente en la columna de agua, lo cual reafirma su importancia en los ecosistemas costeros como un reservorio de materiales y energía, por lo que es necesario incluira los sedimentos en los estudios de presupuesto de nutrientes en un marco ecológico (De la Lanza, 2014).
Bajo la visión anterior, se puede determinar la carga de nutrientes que soporta cualquier cuerpo de agua costero, procedentes de las aguas residuales domésticas e industriales. La agricultura costera y su conse cuente empleo de fertilizantes y agroquímicos aunado a las actividades recreacionales (turismo) así como las descargas de centros urbanos, han generado un aumento constante de nutrientes, y como conse cuencia ha resultado en la eutrofización del sistema, presentándose el crecimiento desmedido de especies que afectan el funcionamiento del ecosistema y al ser humano (De la Lanza, 2014).
En la zona costera podemos encontrar condiciones oligotróficas (baja concentración de nutrientes) y mesotróficas (mediana concen tración de nutrientes); pero elevadas concentraciones de nutrientes generan condiciones eutróficas favoreciendo el predominio de ciertas especies nocivas del plancton (FAN o blooms algales), que son dañinas tanto para las comunidades estuarino-lagunares como para el hombre, pues varias de esas especies son productoras de toxinas letales. La materia orgánica que ingresa al sistema por cualquier vía, consume oxígeno durante su descomposición y favorece la anoxia (<1.0mL 02/L); adicionalmente, esta materia orgánica contiene formas de nitrógeno y fósforo orgánicos, las cuales al descomponerse o remineralizarse se transforman en nutrientes inorgánicos, lo que puede incrementar aún más la condición de eutrofia del sistema lo cual es inadecuado por las razones señaladas (De la Lanza, 2014).
Nitrógeno. En el agua de los sistemas costeros, los compuestos inor gánicos del nitrógeno (nitratos, nitritos y amonio) se presentan, según sean las condiciones locales, con una amplia variación espacial y tem poral: desde lo indetectable para las tres formas hasta más de 30.0 µM para NO3+, 20 para NH4+ y 3.0 µM para NO2+, según las condiciones pre valecientes de óxido-reducción. También se pueden encontrar concen traciones importantes de compuestos orgánicos disueltos representa dos por la urea (De la Lanza, 2014; Gutiérrez et al., 1988; Okolodkov et al., 2014), aminoácidos y péptidos, que son asimilados solamente por ciertos procariontes quimiótrofos, al igual que las formas inorgánicas y que se integran en el término de nitrógeno total. En ciertas condiciones de limitación del contenido inorgánico u orgánico, la fijación del nitró geno molecular (N2), por las algas azul-verdes o cianobacterias, puede ser una fuente adicional de N tanto en el agua como en los sedimentos. Estos procesos se realizan con la participación de microorganismos particulares en cada sistema acuático.
El sedimento de las lagunas costeras es la fase donde se acumula tanto la materia orgánica sin descomponerse como aquellos nutrientes procedentes de la columna de agua ya remineralizados (fracción reci clada) o de aportes fluviales (fracción nueva). Por tal motivo, dicha fase se ha convertido en una fuente potencial e incluso tóxica de nutrientes como el amonio, que se transforma en amoniaco (gas) en condiciones alcalinas (por arriba de pH 8). La resuspensión de sedimentos pue de incrementar la liberación de amonio en cantidades nocivas; esta liberación dependerá de las condiciones locales en las que interactúan diversos factores ambientales, como: textura del sedimento, frecuencia de aportes de materiales orgánicos con tendencia a la formación de sustancias húmicas, tasas de sedimentación, corrientes-mareas y cir culación, profundidad y actividades humanas diversas, como el tránsito de embarcaciones, entre otras (De la Lanza et al., 1991).
Fósforo. La principal entrada de ortofosfatos a los ambientes estuarinos son los ríos, los cuales transportan material rocoso intemperizado o lixivia do (De la Lanza, 2014); adicionalmente ingresa al sistema fósforo generado por las descargas industriales, los fertilizantes y los desechos orgánicos domésticos, así como productos de excreción de organismos acuáticos.
El ciclo geoquímico del fósforo es uno de los más complejos y está constituido por una serie de compuestos vitales como fosfonucleótidos, fosfoaminoazúcares, fosfolípidos, así como de los sistemas energéticos de las células (ADP y ATP) (De la Lanza, 2014). Actualmente es tema de controversia si el fósforo puede ser considerado como un nutriente limitante (p. ej. Cloern, 2001)y que controle o restrinja la producción o productividad fitoplanctónica en sistemas costeros, pero tomando en cuenta la proporción estequiométrica C106N16P1, el requerimiento de fósforo es mínimo como para limitar el desarrollo considerando el aporte sedimentario.
El intervalo de concentración de los ortofosfatos en sistemas cos teros es regulado por los mismos factores citados para el nitrógeno, y su contenido puede ser bajo o indetectable, sin significar que sea limitante, debido a su alto grado de reciclamiento, en el que la redis ponibilidad en la fase sedimentaria juega un papel determinante. La concentración de ortofosfatos disueltos en las lagunas costeras puede oscilar desde lo indetectable hasta 5 µM, o pueden ser contenidos altos cercanos a 10 µM, resultado de la complejidad local y la contaminación (De la Lanza, 1994). Su regeneración es relativamente más sencilla que la del nitrógeno (Day et al., 1989). Los ortofosfatos pueden retirarse del agua por adsorción en sedimentos (efecto amortiguador) en 60% (Ho bbie et al., 1975). Algunos autores consideran que la remineralización de la materia orgánica en sedimentos puede ser el factor que controle la disponibilidad de nutrientes, y que la velocidad de remineralización varía dependiendo de su composición química, la naturaleza y la com posición granulométrica del sedimento, así como de las condiciones fisicoquímicas y la dinámica del agua, entre otras cosas (De la Lanza, 1984). Su distribución en el agua y sedimento es altamente heterogé nea, considerada en parches. Los sedimentos juegan un papel sustan cial en el ciclo y flujo de nutrientes, vía su incorporación a la fase sedi mentaria como materiales suspendidos orgánicos e inorgánicos; esto constituye un reservorio importante, al presentar abundante materia orgánica en diferentes grados de descomposición, que, con el tiempo, pueden redisponer nitrógeno y fósforo a la columna de agua (De la Lan za, 1991; Accornero et al., 2003; Denis & Grenz, 2003; Czitrom et al., 2010). El flujo de nutrientes del sedimento a la columna de agua tam bién se encuentra asociado a procesos físicos como las mareas, como ha sido determinado en la laguna Ensenada del Pabellón, de Sinaloa (De la Lanza et al., 2011), o por vía eólica, que resuspende el sedimento.
Metodología
Se efectuó una búsqueda amplia sobre parámetros fisicoquímicos de las aguas costeras mexicanas (oxígeno disuelto, nutrientes como NO3 +, NO2 +, NH4 +, N total inorgánico, PO4 , P total y clorofila a como un índice de productividad fitoplanctónica), para proponer, con dicha información, intervalos de concentraciones “normales”, aun con los registros más conspicuos (incorporados con base en la experiencia de los autores). Para tal efecto, se consultaron publicaciones científicas y tesis que refirieran el tema del oxígeno y los nutrientes en sistemas costeros mexicanos y que presentaran las concentraciones correspondientes. La información representativa para las dos importantes costas de México (Pacífico mexicano, golfo de México y mar Caribe), basada en una am plia consulta total de 72 ecosistemas, se integró en las Tablas 2 y 3; adicionalmente, se elaboraron gráficas del promedio, mínimo y máximo por vertiente (Figuras 1-10). En virtud de las diferencias inherentes a cada una de las fuentes de información consultada, e independientemente de la técnica analítica empleada, y con el fin de poder presentar la información de manera uniforme y apoyar el análisis de los resultados, sólo se consideraron los valores correspondientes al promedio, mínimo y máximo, y con ello se elaboraron los histogramas de frecuencias.
Resultados
A pesar de que el número de sistemas costeros en las vertientes gol fo de México-mar Caribe y el Pacífico mexicano es aproximadamente igual (Tabla 1), se ha generado mayor información para los sistemas costeros del golfo probablemente por sus dimensiones, al ser un cuer po semicerrado, por sus recursos pesqueros o por las condiciones de impacto antropogénico costero e incluso fluvio-continental, entre otros aspectos; sin descartar también que pueda ser por los fines que persi gue la presente investigación.
Como se puede ver en la Tabla 2, que corresponde al Pacífico, el pa rámetro que más se ha determinado rutinariamente o ligado a aspectos biológicos es el oxígeno disuelto, seguido de los ortofosfatos y nitratos, seguramente por estar asociados a la asimilación fitoplanctónica, en don de se incluye la clorofila a; y fue hasta años posteriores que se determinó con mayor frecuencia el amonio, en asociación con la calidad del agua. En últimas fechas se han cuantificado el nitrógeno o el fósforo totales para incluir las formas orgánicas y ciertas inorgánicas para el balance de nutrientes. Asimismo, dentro del periodo aquí estudiado, se obser va (Tabla 3) que ha sido un grupo pequeño de investigadores el que ha desarrollado estudios fisicoquímicos frecuentemente en aguas costeras.
En la Tabla 3, donde se muestra la integración de los mismos pa rámetros para el golfo de México-Caribe mexicano, contrasta la mayor frecuencia de análisis, e incluso por el mismo grupo de investigadores y algunos otros autores extranjeros.
Dado que los parámetros que menos han sido determinados son el nitrógeno y fósforo totales, en la Tabla 4 se presentan ejemplos regis trados en algunas lagunas costeras con mediciones de tales concen traciones que pueden ser empleadas comparativamente en estudios de balances de nutrientes o contenidos que reflejen contaminación, ejemplo de esto último es el río Calzada, que descarga a la laguna del Ostión, en Veracruz.
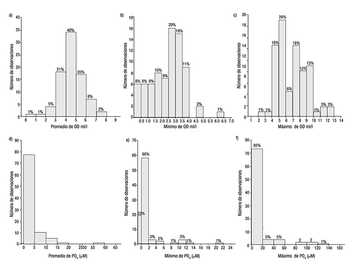
Con base en los resultados de los parámetros analizados, se elabo raron gráficas con sus intervalos correspondientes. De éstos destaca, por diferencia de escalas, el contenido de oxígeno disuelto, que varió de lo anóxico (< 1 mL/L), en el mayor de los casos en el Pacífico, a la sobresaturación (>10 mL/L) (Figuras 1-2). En el caso de los ortofos fatos (Figuras 3-4), el intervalo de concentraciones fue bajo, sobre todo considerando que la escala de variación fue de micromoles (µM), y en localidades específicas se presentaron concentraciones elevadas, que se abordan en la discusión.
Una situación semejante se presenta para los nitratos (Figuras 5-6). Sobresale el contenido de amonio, cuyas concentraciones en el golfo de México y Caribe mexicano fueron altas en su mayoría, comparadas con el Pacífico (Figuras 7-8); sin embargo, cabe destacar que las figuras no presentan las mismas escalas en el eje de las Y.
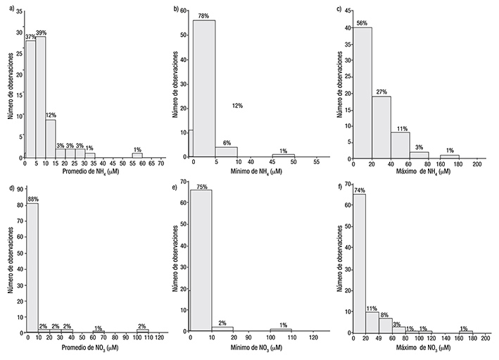
El contenido de clorofila a en ambas vertientes fue amplio (Figuras 9-10). Con el objeto de proponer la concentración media de todos los parámetros anteriores, se elaboraron histogramas que muestran la concentración promedio, mínima y máxima para todos los parámetros comunes en los sistemas costeros de ambas vertientes (Figura 11).
Discusión
Con la información recabada y analizada en el periodo que compren de de 1960 a 2015 se observó lo siguiente: las concentraciones de O2 se encuentran en intervalos de variación amplios, que van de con diciones de anoxia-hipoxia (0 a <2 mL/L) en el 4% de los registros, hasta condiciones aireadas o bien oxigenadas (de 4 a >5 mL/L), que representan el 44% (Figuras 1-2). Destaca la laguna de Tampamacho co, que ha sido muestreada en diversas ocasiones desde 1979 hasta 2013; durante este periodo, los contenidos de oxígeno han fluctuado de manera similar entre la anoxia-hipoxia (0.3 - 1.8 mL/L) hasta so bresaturación (8 - 9 mL/L) (Tabla 2, Figura 2), a pesar del incremento poblacional y de las diversas actividades antropogénicas que se han llevado a cabo en las márgenes de este cuerpo costero. Destacan también los casos de anoxia-hipoxia determinados en las lagunas de Nuxco, Mitla, Chantuto-Panzacola, La Joya Buenavista, por mencio nar algunas, entre las décadas de 1970 y 1980. Si se considera este periodo de menor impacto por actividades antropogénicas y menor densidad poblacional, las concentraciones de este gas se pueden considerar como normales obtenidas en sitios aislados y puntuales, o incluso en aquéllos de amplia dinámica de circulación, siempre y cuando las determinaciones se hagan en las primeras horas del amanecer, cuando los ambientes salen de la respiración nocturna. Ejemplo de estos casos son la laguna La Joya Buenavista, en donde se han registrado máximos de 10 mL/L, o Chantuto-Panzacola, con máximos de 6 mL/L determinados a mediodía, cuando se presen ta la máxima actividad fotosintética. Aun en la década de 1990, se cuantificaron contenidos hipóxicos, pero con máximos cercanos a la saturación (100%) en un mismo sistema, como es el caso de la laguna de Chantuto-Panzacola en 2000 y 2015. Otros casos simi lares son la laguna de Coyuca de Benítez, que en1999 presentó un amplio intervalo, desde anoxia hasta sobresaturación (>100%), con niveles que superaron los 8 mL/L; de manera similar, la laguna de Chelem, en 1998, presentó niveles de este gas con una fluctuación entre la anoxia (0.2 mL/L) y la sobresaturación (10.9 mL/L) (Tabla 2; Figuras 1 y 2). Estos sistemas costeros han experimentado un incre mento de asentamientos ribereños y, por lo tanto, de sus descargas de aguas negras ricas en materia orgánica que requiere de oxígeno para descomponerse o remineralizarse, con tendencia a la hipoxia; sin embargo, puede haber incrementos de oxígeno por una fotosínte sis muy activa, como respuesta a una alta productividad primaria por un aporte alto de nutrientes.
Los contenidos de ortofosfatos (Figuras 3-4) se encuentran en un in tervalo de no detectable hasta 5 µM en 80% de los casos, y con 10µM en 11% de los casos; la última concentración incluso puede conside rarse como “normal”, por lo determinado en años atrás en las lagunas La Joya Buenavista (1987), Ohuira (1978), Santa María (1978), Huiza che y Caimanero (1998) y Manialtepec (1989).
Por arriba de esas concentraciones se considera una condición de eutrofia, como en el río Calzadas (que descarga en la laguna del Ostión), que ha alcanzado contenidos máximos de 104 µM (Tabla 3; Figura 4). Cabe recordar que niveles superiores a los 10 µM dependerán no sólo de las descargas antropogénicas, sino también de la geomorfología y geoquímica de este nutriente, en donde el sedimento juega un papel importante; así como de otros factores asociados al sustrato, como: condiciones hidrodinámicas y de desecación, tasas de sedimentación, remoción por efecto de viento y marea y químicos de óxido reducción, entre otros, que incrementan o disminuyen la concentración de fósforo:
Por ejemplo, Aguíñiga y Álvarez-Borrego (1989) determinaron que en el estero de Punta Banda los contenidos de fósforo fueron mayores durante la bajamar (PO4max = 30µM) con respecto a estos mismos en la pleamar (PO4max = 3µM). Esto sugiere que durante el flujo existe una entrada de agua de la columna hacia los sedimentos y que durante el reflujo salen tanto fosfatos como amonio del agua intersticial de los sedimentos.
En el caso de los nitratos (Figuras 5-6), su intervalo de concentración ha ido ampliándose no sólo por las descargas de aguas negras urba nas, sino también por el uso constante e intensivo de fertilizantes que escurren de los campos agrícolas a los ríos, los cuales desembocan en los ecosistemas costeros. Dicho incremento es visible en la Laguna Chantuto-Panzacola entre los años 1991 a 2015, cuando alcanzó un contenido por arriba de 100µM, nivel anormal de lo comúnmente re gistrado en ambientes costeros. Riley y Chester (1971) proponen como niveles “normales” para el ambiente marino, máximos de 35µM; sin embargo, en sistemas costeros, como las lagunas, estas últimas con centraciones pueden ser cercanas a 50 µM, sin que sean consideradas como eutrofizadas.
En el caso del amonio (Figuras 7- 8), es un ión que se puede encon trar normalmente con una variación espacio temporal dependiente, entre otros factores, de la geomorfología local con condiciones particulares de aislamiento de baja circulación y vegetación en descomposición. En la laguna de Huizache-Caimanero se determinaron contenidos cercanos a 30 µM y 3 años después poco más de 80 µM, resultado de los citados factores. Concentraciones máximas similares también se han registrado en diversos ambientes del golfo de México y Caribe (Tabla 3; Figuras 7-8).
En el estero de Punta Banda, Aguíñiga y Álvarez-Borrego (1989) determinaron que las concentraciones fueron de un orden de magnitud mayor durante la bajamar (NH4 max = 50 µM) con respecto a estos mis mos en la pleamar (NH4 max = 5 µM); dinámica de este nutriente expli cado por dichos autores para el fósforo. Esto sugiere que durante el flu jo existe una entrada de agua hacia los sedimentos, y durante el reflujo los fosfatos y el amonio salen del agua intersticial. Por lo anterior, las concentraciones fueron calificadas como eutróficas de manera natural, ya que no hay asentamientos urbanos ni descargas de aguas negras. En la laguna de Coyuca, en 1999, se determinaron contenidos cercanos a los 170 µM, por lo que esta laguna se clasificó como eutrofizada. El incremento de las concentraciones de nutrientes no se debe sólo a fac tores físicos naturales, como en el caso del estero de Punta Banda, sino también al aumento de las actividades antrópicas, como en la laguna Chantuto-Panzacola, que en 1991 se cuantificaron 52 µM y 25 años después (2015) se registraron 199 µM. Destaca por sus concentracio nes promedio y máximas de amonio (49 y 526 µM, respectivamente), el río Calzadas en su descarga a la laguna del Ostión, correspondiente a una zona pantanosa sujeta adicionalmente a entradas de nutrientes de actividades industriales. Estos dos últimos ejemplos son considerados eutróficos culturales, resultado de las actividades antropogénicas que se llevan a cabo en las zonas adyacentes a las lagunas.
En la tabla 4 se muestra una síntesis de determinaciones fisicoquí micas en diferentes lagunas costeras en las que se incluye el fósforo total y nitrógeno total. Estos dos parámetros no se determinan común mente e incluyen tanto formas orgánicas como inorgánicas (formas mi nerales), particuladas o disueltas, cuyos objetivos pueden diferir de las determinaciones fisicoquímicas rutinarias y ecológicas (no para calidad de agua) y con metodologías no comparativas. Destaca que los niveles más altos de fósforo total se determinaron en la Bahía de Ceuta, región en la que más se llevan a cabo actividades antropogénicas.
El contenido de clorofila a en los ecosistemas costeros es un índice que da idea de las condiciones tróficas naturales o culturales (Vázquez Botello et al., 2006). Se caracteriza por su amplia variación temporal (fundamentalmente diurna) como espacial (distribución en parches). Bajo condiciones de no impacto por actividades antropogénicas, se han registrado desde <1mg/m3 hasta poco más de 143 mg/m3,como en Chantuto-Panzacola en 1991, siendo ejemplo de un caso extremo; sin embargo, 25 años después (2015) se determinaron contenidos de 43 mg/m3, disminución que puede ser resultado de la distribución en parches del fitoplancton. Con base en la información recopilada, los in tervalos de las concentraciones de este pigmento pueden oscilar entre < 4 a 20mg/m3 (Tablas 2 y 3; Figuras 9-10), Figuraue representan entre 27% a 50%, respectivamente. Aunque este amplio intervalo también varía localmente; por ejemplo, la laguna La Cruz (Sonora) registró valores de clorofila a de 3.89 en verano y de 4.79mg/m3 en invierno (Morales-Soto et al., 2000).
Consideraciones finales
Se puede concluir que los amplios intervalos de concentración de los diferentes parámetros fisicoquímicos y de clorofila a aquí reportados son resultado tanto de factores y condiciones locales como de la inte racción con ambientes adyacentes, por lo que presentan variaciones espacio-temporales, propias de latitudes tropicales y muchas veces con características únicas a cada ecosistema. Por lo anterior, esta va riabilidad debe tomarse en cuenta si se quiere generar un índice para clasificar los ambientes y reconocer los que han recibido un impacto antropogénico.
Resumen
Antecedentes:
Objetivos:
Métodos:
Resultados:
Conclusiones:
Main Text
Introducción
Marco teórico
Metodología
Resultados
Discusión
Consideraciones finales
Ubicación geográfica de los sistemas costeros incluidos en la presente revisión de parámetros no conservativos en sistemas acuáticos costeros de México.
Valores promedio, mínimos y máximos de oxígeno disuelto, nutrientes y clorofila a en ambientes costeros del Pacífico mexicano. B= Bahía ; E=Estero ; L=Laguna ; S=Sistema.
Valores promedio, mínimos y máximos de oxígeno disuelto, nutrientes y clorofila a en ambientes costeros del golfo de México y Caribe mexicano.
Figura 1
Concentraciones promedio, mínima y máxima de oxígeno disuelto (mL/L) en ambientes costeros del Pacífico mexicano.
Figura 2
Concentración promedio, mínima y máxima de oxígeno disuelto (mL/L) en ambientes costeros del golfo de México y Caribe mexicano.
Figura 3
Concentración promedio, mínima y máxima de ortofosfatos (mM) en ambientes costeros del Pacífico mexicano.
Figura 4
Concentración promedio, mínima y máxima de ortofosfatos (mM) en ambientes costeros del golfo de México y Caribe mexicano.
Figura 5
Concentración promedio, mínima y máxima de nitratos (mM) en am bientes costeros del Pacífico mexicano.
Figura 6
Concentración promedio, mínima y máxima de nitratos (mM) en am bientes costeros del golfo de México y Caribe mexicano.
Figura 7
Concentración promedio, mínima y máxima de amonio (mM) en am bientes costeros del Pacífico mexicano.
Figura 8
Concentración promedio, mínima y máxima de amonio (mM) en ambientes costeros del golfo de México y Caribe mexicano.
Figura 9
Concentración promedio, mínima y máxima de clorofila a (µg/L) en ambientes costeros del Pacífico mexicano.
Figura 10
Concentración promedio, mínima y máxima de clorofila a (µg/L) en ambientes costeros del golfo de México y Caribe mexicano.
Concentraciones de fósforo total (Pt) y nitrógeno total (Nt) en diversas lagunas costeras mexicanas.
Figuras 11a-f
Figuras 11a-f
Histogramas de frecuencia delos valores promedio, mínimo y máximo de distintos parámetros fisicoquímicos de 72 ambientes estuarinos y costeros mexicanos. a-c) Oxígeno (mL/L), d-f) Ortofosfatos (mM).
Figuras 12a-f
Figuras 12a-f
Histogramas de frecuencia delos valores promedio, mínimo y máximo de distintos parámetros fisicoquímicos de 72 ambientes estuarinos y costeros mexicanos. a-c) Amonio (mg/L), d-f) Nitratos.
Figuras 13a-c
Figuras 13a-c
Histogramas de frecuencia delos valores promedio, mínimo y máximo de distintos parámetros fisicoquímicos de 72 ambientes estuarinos y costeros mexicanos. a-c), Clorofila a (mg/L).
Reference
Organic carbon budget at the sediment-water interface on the Gulf of Lions continental margin
A Accornero, P. Picon, F. Bovee, B. Charriere, R. Buscail
Continental Shelf Research, 23: 79-92, 2003
Reference
Petacheo y variación tem poral de amonio y fosfato en aguas intersticiales de sedimentos de entre mareas de una laguna costera
S Aguíñiga-García, S Álvarez-Borrego
Ciencias Marinas, 15: 97-120, 1989
Reference
Phytoplankton variation and its relation to nutrients and allochthonous organic matter in a coastal lagoon on the Gulf of Mexico
J. A Aké-Castillo, G Vázquez
Estuarine, Coastal and Shelf Science, 78: 705-714, 2008
Reference
Nutrient and phytoplankton dynamics in a coastal lagoon strongly affected by coastal upwelling.
S Alvarez-Borrego
Ciencias Ma rinas, 30: 1-19, 2004
Reference
Parámetros relacionados con la productividad orgánica primaria en dos anties tuarios de Baja California
S Alvarez-Borrego, J. R. Lara-Lara, M.J. Acosta-Ruíz
Ciencias Marinas, 4: 12-21, 1977
Reference
Chemis try and biogeochemistry of Estuaries
S. R Aston
Chemis try and biogeochemistry of Estuaries: 233-262, John Wiley and Sons, Nueva York, 1980
Reference
Distribución espacio-tem poral de la biomasa fitoplánctica en el sistema lagunar Pom-Atasta, Campeche, México
M. T Barreiro-Güemes, A. Aguirre-León
Revista de Biología Tropical, 47: 27-35, 1999
Reference
Evaluación de algunas comunidades de productores primarios de la laguna La Mancha, Veracruz.
M. T Barreiro-Güemes, J. Balderas Cortés
Anales del Instituto de Ciencias del Mar y Limnología, UNAM, 18: 229-245, 1991
Reference
Variación espacio-tem poral de nutrientes de la ensenada de La Paz, BC S., México
R Cervantes-Duarte, R. Guerrero-Godínez
Anales del Instituto de Ciencias del Mar y Limnología, UNAM, 15: 129-142, 1988
Reference
Our evolving conceptual model of the coastal eutro phication problem
J. E Cloern
Marine Ecology Progress Series, 210: 223-253, 2001
Reference
Nutrientes en 39 lagunas costeras mexicanas
E. F Contreras, O. Castañeda, R. Torres, F. Gutiérrez
Revista de Biología Tropical, 44: 417-425, 1996
Reference
Ecosystem characteristics and management considerations for coastal wetlands in Mexico
F Contreras-Espinosa, B. G. Warner
Hydrobio logia, 511: 233-245, 2004
Reference
Macro-engineering Seawater in Unique Environments. Arid Lowlands and Water Bodies Rehabilitation
S. P. R Czitrom, I. Penié, G. de la Lanza-Espino
Macro-engineering Seawater in Unique Environments. Arid Lowlands and Water Bodies Rehabilitation: 2010
Reference
Estuarine Ecology
J. J Day, C. H. Hall, W. M. Kemp, A. Yáñez-Arancibia
Estuarine Ecology: 79-143, 1989
Reference
Calidad ambiental de la Laguna de Mez caltitán, Nayarit, México, durante el estiaje
G de la Lanza-Espino
Anales del Instituto de Ciencias del Mar y Limnología, UNAM, 13: 315-328, 1984
Reference
Calidad ambiental de la laguna de Mez caltitán, Nayarit, México, durante el estiaje
G de la Lanza-Espino
Anales del Instituto de Ciencias del Mar y Limnología, UNAM, 13: 15-328, 1986
Reference
Fisicoquímica y biología de las lagunas costeras mexicanas
G de la Lanza-Espino
Fisicoquímica y biología de las lagunas costeras mexicanas: 7-15, Universidad Autónoma Metropolitana, Unidad Iztapalapa, México, 1991
Reference
Lagunas costeras y el litoral mexicano
G de la Lanza-Espino
Lagunas costeras y el litoral mexicano: 127-198, 1994
Reference
Versión 1.0 Junio 2014
G de la Lanza-Espino
Protocolo para el muestreo de calidad del agua en ríos endorréicos y exorréicos, y en humedales para la aplicación de la Norma de Caudal Ecológico (NMX-AA-159-SCFI-2012): 2014
Reference
Nutrient fluxes (NH4 and PO4) in a N.W. coastal lagoon Mexico associated with an agro industrial basin
G de la Lanza-Espino, F. Flores-Verdugo
Water, Air and Soil Pollution, 107: 105-120, 1998
Reference
Sistema lagunar Hui zache y Caimanero, Sin. Un estudio socio ambiental, pesquero y acuícola
G de la Lanza-Espino, J. L. García-Calderón
Hidrobiológica: 1-35, 1991
Reference
Golfo de México. Contaminación e impacto ambiental: diagnóstico y tendencias
G de la Lanza-Espino, S. Hernández-Pulido, J. L. Carbajal-Pérez
Golfo de México. Contaminación e impacto ambiental: diagnóstico y tendencias: 817-838, 2013
Reference
Memorias de resúmenes
G de la Lanza-Espino, S. Hernández, J. Conde, J. L. García
Hidrolo gía y difusión de nutrientes del sedimento en drenes agroindustria les periféricos en una laguna costera al NO de México: 1991
Reference
Comparación fisicoquí mica de las lagunas de Alvarado y Términos.
G de la Lanza-Espino, H. Lozano-Montes
Hidrobiológica, 9: 15-30, 1999
Reference
Ambiente, biología, sociedad, ma nejo y legislación de sistemas costeros mexicanos
G de la Lanza-Espino, I. Penié-Rodríguez, S. Czitrom-Baus, S. Hernández-Pulido
Ambiente, biología, sociedad, ma nejo y legislación de sistemas costeros mexicanos: 123-140, 2011
Reference
Spatial variability in oxygen and nutrient fluxes at the sediment-water interface on the continental shelf in the Gulf of Lyon (NW Mediterranean)
L Denis, C Grenz
Oceanologica Acta, 26: 373-389, 2003
Reference
Overview of hypoxia around the world
R Diaz
Journal of Envi ronmental Quality, 30: 275-281, 2001
Reference
Doc torado
D. C Escobedo-Urías
Diagnóstico y descripción del proceso de eutrofización en lagunas costeras del norte de Sinaloa: 2010
Reference
Phy toplankton production and seasonal biomass variation of seagrass, Ruppiamaritima L., in a tropical Mexican lagoon with an ephemeral inlet
F. J Flores-Verdugo, J. W. Day, L. Mee, R. Briseño-Dueñas
Estuaries, 11: 51-58, 1988
Reference
Environmental and Pollution Condition of the Huizache-Caimanero Lagoon, in the North-west of Mexico
J. J Galindo, M. A. Medina, L. Cecilio-Villagrana, C. Leonardo-Ibarra
Marine Pollution Bulletin, 34: 1072-1077, 1997
Reference
The Phytoplankton characteristics of the barrier island lagoons of the Gulf of California
M Gilmartin, N Revelante
Estuarine and Coastal Marine Science, 7: 1-47, 1978
Reference
Maestría
R Gómez-Ortega
Ecología del Sistema Lagunar Chantuto-Panza cola, Chiapas, basada en la aplicación e interpretación de algunos índices tróficos, parámetros físico-químicos y biológicos: 2014
Reference
Índices tróficos de importancia ecológica y su rela ción con algunas variables físico-químicas en el sistema lagunar estuarino Chantuto-Panzacola, Chiapas, México
R Gómez, C. Tovilla, E. Barba, O. Castañeda, F. J. Valle, E. I. Romero, E. Ramos
Revista Cubana de Investigaciones Pesqueras, 31: 47-57, 2014
Reference
Fish assemblage structure in rela tion to environmental conditions in a tropical estuary
A González-Solís, D Torruco
Revista de Biología Marina y Oceanografía, 48: 553-563, 2013
Reference
Importancia de la cuantificación de la urea en ecosistemas costeros
M. F. J Gutiérrez, R. Torres, M. R. Torres
Hidrobiológica, 8: 155-164, 1988
Reference
Tesis IPN
J Gutiérrez-Vivanco
Variación espacio-temporal de los parámetros físico-químicos, clorofila a y nutrientes en la Laguna de Tampama choco Veracruz (Golfo de México Occidental): 2010
Reference
Correlaciones entre parámetros físicos, químicos y biológicos de la laguna de Celestún, Yucatán
J. A Herrera-Silveira
Anales del Instituto de Ciencias del Mar y Limnología, UNAM, 21: 43-53, 1994
Reference
Nutrients from underground water dischar ges in a coastal lagoon (Celestún, Yucatan, Mexico)
J. A Herrera-Silveira
Verhein Inter national Vereinungen Limnologie, 25: 1398-1401, 1994
Reference
Evaluation of the health status of a coastal ecosystem in southeast Mexico: Assess ment of water quality, phytoplankton and submerged aquatic veg etation
J. A Herrera-Silveira, S. M. Morales-Ojeda
Marine Pollution Bulletin, 59: 72-86, 2009
Reference
Estuarine Research
J. E Hobbie, B. J. Copeland, W. G. Harrison
Estuarine Research: 287-302, 1975
Reference
Ecology of Estuaries
M. J Kennish
Ecology of Estuaries: CRC Press, Boca Ratón, Florida, 1986
Reference
Fitoplancton Invernal de la laguna costera de Alva rado (México)
R Margalef
Anales del Instituto Botánico de Cavanilles, 32: 381-387, 1975
Reference
Spatial characterization of water quality in a karstic coastal lagoon without anthropogenic disturbance: A multivariate approach
I Medina-Gómez, J. A. Herrera-Silveira
Estuarine, Coastal and Shelf Science, 58: 455-465, 2003
Reference
Cambio diurno y estacional de la clorofila a y algunas variables fisicoquímicas en la Laguna La Cruz, Sonora, México
J. C Morales-Soto, J. E. Valdez-Holguín, R. Cervantes-Duarte
Oceánides, 15: 25-33, 2000
Reference
Seasonal changes in epiphytic dinoflagellate assemblages near the northern coast of the Yucatan peninsula, Gulf of Mexico
Y. B Okolodkov, F. C. Merino-Virgilio, J. A. Aké-Castillo, A. C. Aguilar-Trujillo, S. Espinosa-Matías, J. A. Herrera-Silveira
Acta Botánica Mexi cana, 107: 121-151, 2014
Reference
Ecology of inland waters and estuaries
G. K Reid, R. D. Wood
Ecology of inland waters and estuaries: 1976
Reference
Introduction to marine chemistry
J. P Riley, R Chester
Introduction to marine chemistry: 1971
Reference
Long term state of coastal lagoons in Veracruz, Mexico: Effects of land use changes in watersheds on seagrasses habitats
N. E Rivera-Guzmán, P. Moreno-Casasola, S. E. Ibarra-Obando, V. J. Sosa, J. Herrera-Silveira
Ocean and Coastal Management, 87: 30-39, 2014
Reference
“Norma Oficial Mexicana NOM-001-ECOL-1996, que esta blece los límites máximos permisibles de contaminantes en las descargas de aguas residuales en aguas y bienes nacionales”
SEMARNAP
Diario Oficial de la Federación: 1997
Reference
Nu trientes inorgánicos y producción del fitoplancton en una laguna cos tera subtropical de México.
R Sosa-Avalos, G. Gaxiola-Castro, A. Olivos-Ortiz, L. Silva-Iñiguez
Revista de Biología Marina y Oceanografía, 48: 143-154, 2013
Reference
Variacio nes del índice de calidad en laguna Yalahau, Quintana Roo, México, basado en las características del agua y sedimentos, en el período 1999-2002
C Tran-Kim, D. S. Valdez-Lozano, E. Real, O. Zapata-Pérez
Ciencias de la Tierra y el Espacio, 9: 20-29, 2008
Reference
Nitrogen and phosphorus in water and sediments at Ría Lagartos lagoon, Yucatán, Gulf of Mexico
D.S Valdés-Lozano, E. Real
In dian Journal of Marine Science, 33: 338-345, 2004
Reference
Variación de los parámetros hidrológicos en las épocas de sequía y lluvias (mayo y noviembre de 1974) en la Lagu na de Términos. Campeche, México
A Vázquez-Botello
Anales del Centro de Ciencias del Mar y Limnología, UNAM, 5: 159-178, 1978
Reference
http://www.eolss.net/
A Vázquez-Botello, F. Contreras-Espinosa, G. de la Lanza-Espino, S. Villanueva
Encyclo pedia of Life Support Systems (ELOSS): 2006
Reference
Estudios hidrobiológicos en la laguna de Alvarado (Febrero -Agosto, 1966)
F. A Villalobos, S. Gómez A, V. Arenas, J. Cabrera, G. de La Lanza, F. Manrique
Anales del Instituto de Biología, UNAM, Zoología, 46: 1-34, 1975
Reference
Journal of Geophysical Research: Oceans
J. J. Walsh
Journal of Geophysical Research: Oceans, 111: C11003-C11003, 2006
Copyright & License
Este es un artículo publicado en acceso abierto bajo una licencia Creative Commons
Author
Guadalupe de la Lanza-Espino
Laboratorio de Hidrobiología, Instituto de Biología, Universidad Nacional Autónoma de México. Tercer Circuito exterior, Jardín Botánico S/N, Ciudad Universitaria, CDMX 04510, Mexico, Mexico
For correspondence
Author
Francisco José Gutiérrez-Mendieta
Laboratorio de Ecosistemas Costeros, Departamento de Hidrobiología, DCBS. Universidad Autónoma Metropolitana-Iztapalapa. Av. San Rafael Atlixco #186 Col. Vicentina, CDMX, 09340, Mexico, Mexico